DC-DC電路中電感的特性及選擇
了解電感的作用
在開關電源輸出的LC濾波電路中,電感通常被理解為L(C是輸出電容器)。盡管這種理解是正確的,但為了理解電感器的設計,有必要對其行為有更深入的了解。在BUCK降壓轉換器中,電感器的一端連接到直流輸出電壓。另一端通過開關頻率連接到輸入電壓或GND。

圖1
在狀態1期間,電感通過(高側)MOSFET連接到輸入電壓。在狀態2期間,電感器連接到GND。由于使用了這種控制器,感應接地可以通過兩種方式實現:通過二極管接地或通過(低側)MOSFET接地。如果是后一種方法,則轉換器被稱為“同步”方法。
現在讓我們來考慮流經電感器的電流在這兩種狀態下是如何變化的。在狀態1期間,電感器的一端連接到輸入電壓,而另一端連接到輸出電壓。對于降壓轉換器,輸入電壓必須高于輸出電壓,從而在電感器上產生正向電壓降。相反,在狀態2期間,最初連接到輸入電壓的電感器的一端連接到地。對于降壓轉換器,輸出電壓必須為正,從而在電感器上產生負電壓降。我們使用電感的電壓計算公式:V=L(dI/dt)
因此,當電感上的電壓為正(狀態1)時,電感上的電流將增加;當電感上的電壓為負(狀態2)時,電感上的電流減小。通過電感器的電流如圖2所示:

圖2:
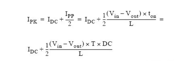
從上圖中可以看出,流經電感器的最大電流是直流電流加上開關峰值電流的一半。上圖也稱為紋波電流。根據上述公式,我們可以計算出峰值電流:

其中,ton是狀態1的時間,T是開關周期(開關頻率的倒數),DC是狀態1中的占空比。
注:上述計算假設,與輸入和輸出電壓相比,每個組件上的電壓降(MOSFET上的導通電壓降、電感器上的導通電壓降或異步電路中肖特基二極管上的正向電壓降)可以忽略。
通過計算電感器的峰值電流,我們可以發現電感器上發生了什么。很容易知道,隨著通過電感器的電流增加,其電感會減小。這是由磁芯材料的物理特性決定的。確定電感將減少多少是很重要的:如果電感顯著減少,轉換器將無法正常工作。
當通過電感器的電流達到電感失效的程度時,此時的電流被稱為“飽和電流”,這也是電感器基本參數。
事實上,轉換電路中的開關功率電感總是具有“軟”飽和。為了理解這個概念,可以觀察實際測量的電感與直流電流的曲線:

當電流增加到一定程度時,電感不會急劇下降,這被稱為“軟”飽和特性。如果電流再次增加,電感就會損壞。
通過這種軟飽和特性,我們可以理解為什么在所有轉換器中都指定了直流輸出電流下的最小電感;此外,紋波電流的變化不會嚴重影響電感。在所有應用中,希望紋波電流應該盡可能小,因為它會影響輸出電壓的紋波。這就是為什么每個人都關心直流輸出電流下的電感。
